网站首页  学院概况  专业介绍  师资队伍  实训条件  质量工程  招生就业  党群工会  学生工作  终身学习  学校首页 
学生活动
奖助勤贷
当前位置: 网站首页>>学生工作>>奖助勤贷>>正文
智能制造学院2023-2024学年春季学期学校奖学金拟获奖名单公示
2024-10-14 11:04     (点击: )

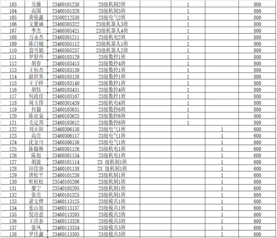
根据《四川职业技术学院奖学金评定办法》,以及学工部《关于评选四川职业技术学院2023-2024学年春季学期学校奖学金的通知》等相关文件规定,经学生个人申请,班级民主评议,院部审议推荐,拟确定周礼等180名同学获得学院2023-2024学年春季学期学校奖学金。本着公平、公正、公开的原则,现将拟获奖学生名单向全院师生公示。

公示时间为10月14日—10月16日,如有异议,请于公示期内到匠心楼403或学生科刘老师(电话:18909065297)处反映。

智能制造学院

2024年10月14日

上一条:智能制造学院关于2025届困难毕业生一次性求职补贴推荐名单的公示
下一条:智能制造学院2024-2025学年国家助学金拟推荐资助学生名单及档次公示
关闭窗口
Copyright(c)2015 四川职业技术学院智能制造学院 .All Rights Reserved 蜀ICP备09042149号-1
您是本站第 个访客,当前在线人数 0